Brilio.net - Stigma pelajaran matematika itu sulit, kini tidak relevan lagi. Pasalnya, dengan kecanggihan teknologi kamu bisa mempelajari apa saja termasuk rumus-rumus matematika. Salah satu sub bab materi matematika yang mudah dipelajari yaitu tentang rumus kombinasi.
Secara sederhana, rumus kombinasi merupakan cara menyusun objek tanpa memperhatikan urutan. Misalnya ada beberapa kelompok orang, untuk membagi kelompok tersebut kamu tidak perlu memperhatikan urutan orang tersebut. Tetapi kami bisa membagi secara acak. Contohnya A-B, A-C, B-C, dan lainnya.
Nah, berikut penjelasan lengkap tentang rumus kombinasi, lengkap dengan pengertian, contoh soal, dan cara pengerjaannya. Brilio.net menghimpun dari berbagai sumber pada Jumat (6/10).
Pengertian rumus kombinasi.
foto: freepik.com
Kombinasi adalah cara menyusun objek tanpa memperhatikan urutan, beda dengan permutasi yang penyusunannya harus berdasarkan urutan. Susunan {A,B} dan {B,A} dalam kombinasi disebut sama karena tidak mementingkan urutan. Namun dalam permutasi, urutan merupakan hal yang penting sehingga susunan {A,B} dan {B,A} disebut berbeda.
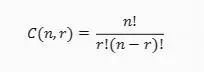
Rumus kombinasi adalah suatu persamaan yang digunakan untuk menentukan banyak cara menyusun atau memilih obyek. Rumus kombinasi dapat ditulis dengan notasi C(n,r) atau (nr), yang artinya banyak cara memilih r obyek dari n obyek tanpa menghiraukan urutan. Rumus kombinasi adalah:
foto: Istimewa
C(n,r) = n!/r!(n-r)!
Keterangan:
n! adalah faktorial dari n, yaitu hasil perkalian dari 1 sampai n
n adalah banyak obyek yang tersedia
r adalah banyak obyek yang dipilih atau disusun
Supaya lebih mengerti, cobalah pahami ilustrasi ini. Misalnya terdapat pengambilan 1 buku biru, 1 buku biru, dan 1 buku merah dari beberapa buku yang disediakan, sama dengan pengambilan 1 buku biru, 1 buku merah, dan 1 buku biru. Dimana ketika pengambilan buku yang terjadi adalah mendapat 2 buku biru dan 1 buku merah.
Ketika dihitung dalam rumus kombinasi maka digunakan operasi notasi faktorial (!). Operasi notasi faktorial dilakukan dengan mengalikan bilangan-bilangan asli dari bilangan terbesar sampai satu. Contoh notasi 6! adalah 6 x 5 x 4 x 3 x 2 x 1 = 720
Recommended By Editor
- Rumus frekuensi gelombang, lengkap dengan pengertian dan contoh soal
- Rumus luas jaring-jaring kubus, lengkap dengan pengertian, ciri dan contoh soal
- Rumus keliling jajar genjang, beserta cara mengerjakan contoh soalnya
- 20 Contoh soal peluang kejadian majemuk, lengkap dengan penyelesaiannya
- Rumus volume prisma segitiga, beserta ciri, contoh soal, dan cara pengerjaannya


































